עזרים ארגוגניים בספורט
המונח ארגוגני מתייחס לכל התהליכים הפיזיולוגיים שבהם הגוף שלנו משיג אנרגיה. להיות פחות או יותר יעיל בכל הקשור להשגת אנרגיה יכול להיות כרטיס פראי או מוגבלות במהלך תחרויות ספורט. כמו כן, ישנם עזרים ארגוגניים שונים שיכולים לתת אנרגיה נוספת.
למרות שזה אולי נראה מובן מאליו, האנרגיה שאצן יזדקק לה אינה זהה לרץ מרתון.
עזרים ארגוגניים טבעיים או משופרים?
עלינו לזכור כי אנו יכולים להשתמש בעזרים אלו במסגרת הכנה נכונה של ספורטאי. תזונה בהחלט חייבת להתאים לסוג הספורט, האימון והתחרות. ברגע שהטריאדה הזו מתגבשת, ניתן לתכנן את השימוש בעזרים ארגוגניים.
כאשר מישהו מציע לך תוסף תזונה, אתה תמיד צריך לשאול על היתרונות הפוטנציאליים והסיכונים הנלווים.
המכון האוסטרלי לספורט פיתח סיווג שבו סווגו עזרים ארגוגניים לפי העדויות המדעיות שהוכחו בעניין זה. במאמר זה נסקור את קטגוריה A, שהשפעתה מוכחת מדעית.
רמה א': ראיות מדעיות מאוחדות
פחמימות
התוסף שלא נראה כמו תוסף. גם אם אנחנו לא מחשיבים את זה ככזה, צריכת פחמימות במהלך תחרות היא עזר ארגוגני שמונע ממאגרי הגלוקוז שלנו להיגמר. כך אנו מצליחים לעכב את ביטוי העייפות וגם משפרים את הביצועים שלנו.
אנחנו יכולים למצוא אותם במצגות שונות, כמו ברים, ג'לים, משקאות, אבקות לחות וכו'. בנוסף, כל צורה אידיאלית לסוג אחר של פעילות גופנית. לדוגמה, אם אתה מתכוון לבצע תחרות מסוג מרתון, היינו ממליצים לך להשתמש בג'לים על ברים או משקאות. הסיבה לכך היא שהספיגה שלו מהירה והתנועות מהתרגיל לא משפיעות עליו, מה שאומר פחות אי נוחות במערכת העיכול.
קפאין
עבור ספורטאים רבים ושאינם ספורטאים, קפאין הוא החבר הכי טוב שלהם. השפעותיו מודגמות ויש לו מנגנון רב-פעולה. אלו הן כמה מההשפעות הבולטות ביותר של קפאין כעזר ארגוגני:
- מערכת העצבים המרכזית מפחיתה את תפיסת הכאב והמתח הגופני שאליהם נתון הגוף.
- הוא מגביר את גיוס השומן ואת חמצונו להשגת אנרגיה.
- מקדם סינתזה מחדש של גליקוגן (מאגרי גלוקוז) לאחר פעילות גופנית ובכך, ממלא את המאגרים.
- משפר את שחרור הסידן להתכווצות שרירים טובה יותר.
יש לו את ההשפעה המקסימלית שלו כאשר המינון הוא 2.7 מ"ג לקילוגרם משקל, אך אנו יכולים לשנות את המינון בין 0,9-4 מ"ג לקילוגרם משקל. שתייה של מעל 4 מ"ג לקפאין, שתהיה שווה ערך לצריכת שש כוסות קפה, עלולה לגרום להשפעות שליליות:
- זה מגביל את ספיגת הברזל.
- מגביר חומציות.
- משתן (חיסול מים) עולה.
- זה מייצר עצבנות, נדודי שינה, עצבנות, חרדה, הפרעות קצב והזיות. זה גם מחמיר עם מינונים גדולים יותר בהשוואה לזה שהוזכר לעיל.
- תסמונת התנזרות. אם צורכים אותו באופן קבוע ואז מפסיקים, מופיע אפיזודה סימפטומטית של תלות הכוללת עייפות, עצבנות, כאבי ראש ועוד.
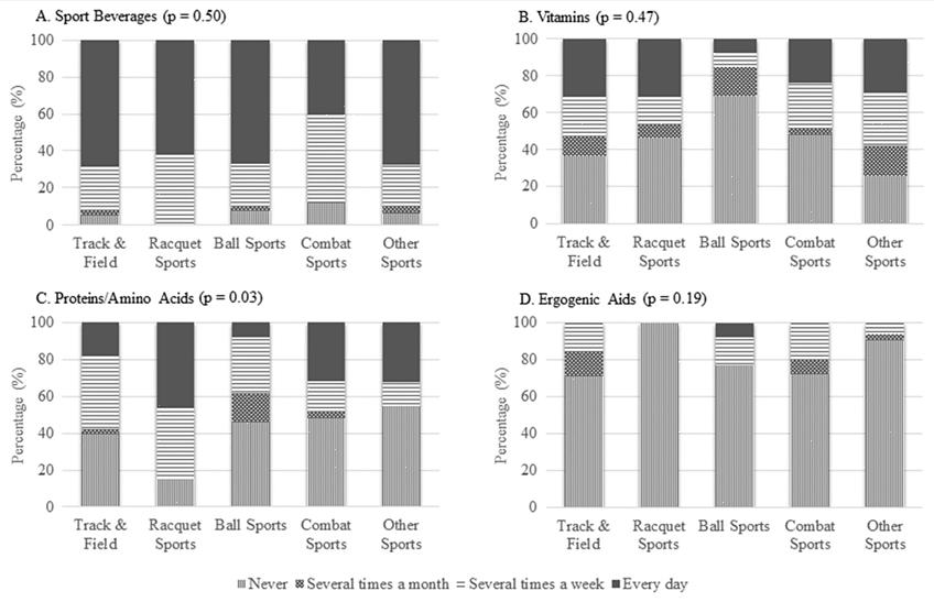
אנו יכולים למצוא תוספי מזון המכילים עזרים ארגוגניים שונים בכמויות ובצורות שונות של בליעה. בדרך זו, הם יכולים להועיל עבור ענפי ספורט שונים.
בטא-אלנין
עזר ארגוגני זה אידיאלי עבור ספורט אנאירובי או נפץ. זה משפר את היכולת האנאירובית הודות לתפקודו כמאגר תוך תאי. המשמעות היא שהוא שומר על pH אופטימלי ומפחית את החומציות הנגרמת על ידי התרכובות שנוצרות בתגובות השגת אנרגיה.
קריאטין
זה שימושי לאימון משקולות שעושים מפתחי גוף ומרימי משקולות. צריכת קריאטין תוך כדי אימוני כוח מייצרת צמיחה במסת הגוף על חשבון בניית השריר. אז ספורטאים יכולים להגביר את עומס המשקל שאליו הם נתונים. אבל זה מחייב אותם להמשיך לצרוך קריאטין באופן שגרתי כדי לקיים את ההתקדמות.
אנו ממליצים שאם תחליט להשתמש בעזרים ארגוגניים אלה או אחרים, בקש חוות דעת מקצועית ותידע את עצמך לגבי היתרונות והסיכונים הכרוכים בכך. יתר על כן, אתה תמיד חייב ליישם את ההשפעות שלהם ולעבור תקופת הסתגלות במהלך שלב האימון.
אם תמשיך לצרוך משהו שאתה לא יודע איך הוא יגיב בגוף שלך, זה יכול להוביל לניצחון בר מזל או להשאיר אותך מחוץ למשחק עוד לפני שתתחיל.

